简体
繁体
无障碍浏览
网站首页
关于学会
党建引领
通知公告
学会动态
政策法规
教育培训
健康科普
组织建设
专家风采
会员之家
学会简介
学会章程
联系方式
现任领导组
学术自律
会员管理办法
组织架构
当前位置:
首页
>
组织建设
>
功能性胃肠外科专业委员会
>
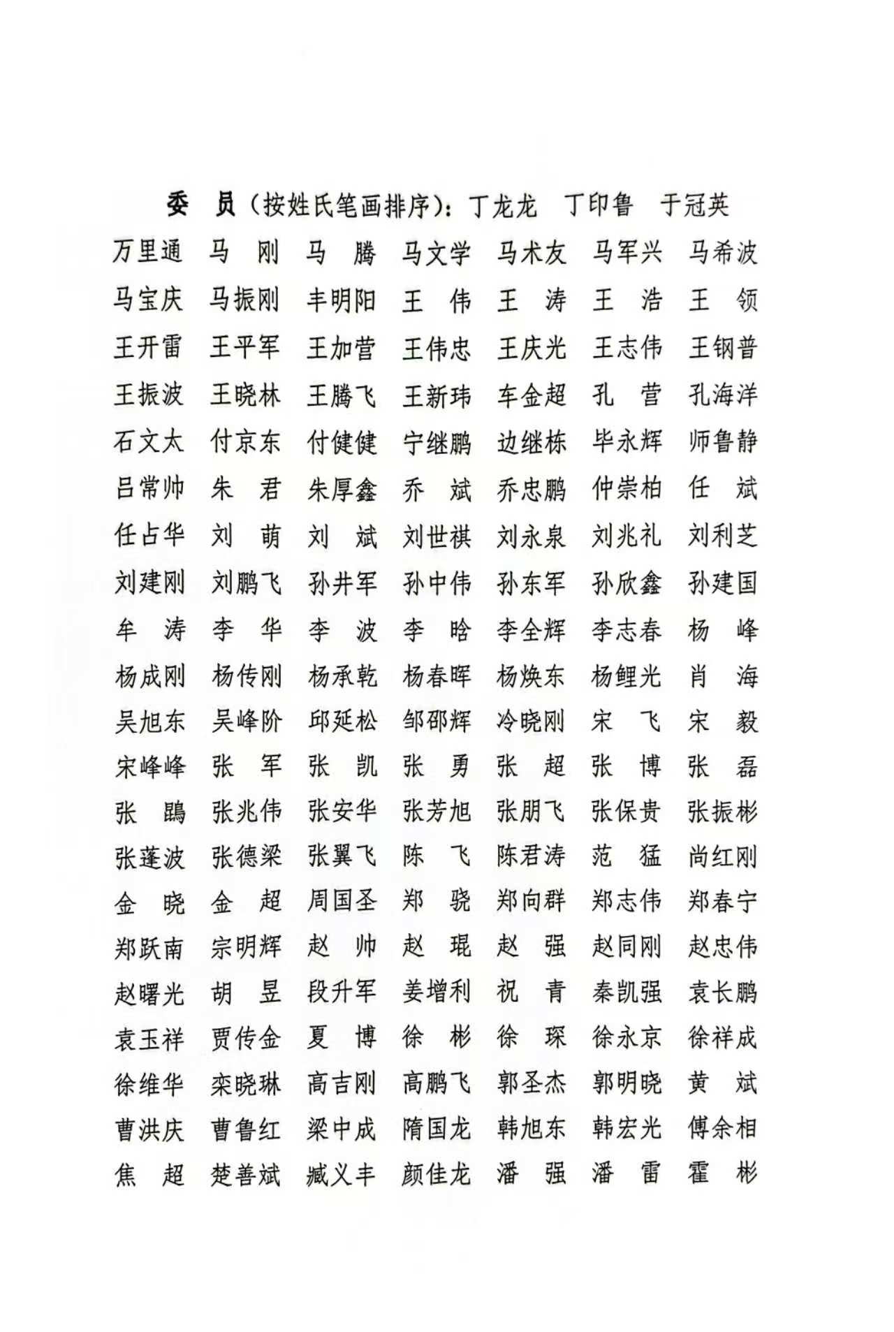
关于公布功能性胃肠外科分会第一届委员会组成的通知
关于公布功能性胃肠外科分会第一届委员会组成的通知
发布时间:2025-11-20 17:15:47
下载文件:
山东省康复医学会关于公布功能性胃肠外科分会第一届委员会组成的通知.pdf
申请个人会员
申报委员入口
单位会员入口