简体
繁体
无障碍浏览
网站首页
关于学会
党建引领
通知公告
学会动态
政策法规
教育培训
健康科普
组织建设
专家风采
会员之家
学会简介
学会章程
联系方式
现任领导组
学术自律
会员管理办法
组织架构
当前位置:
首页
>
乳腺疾病专业委员会
>
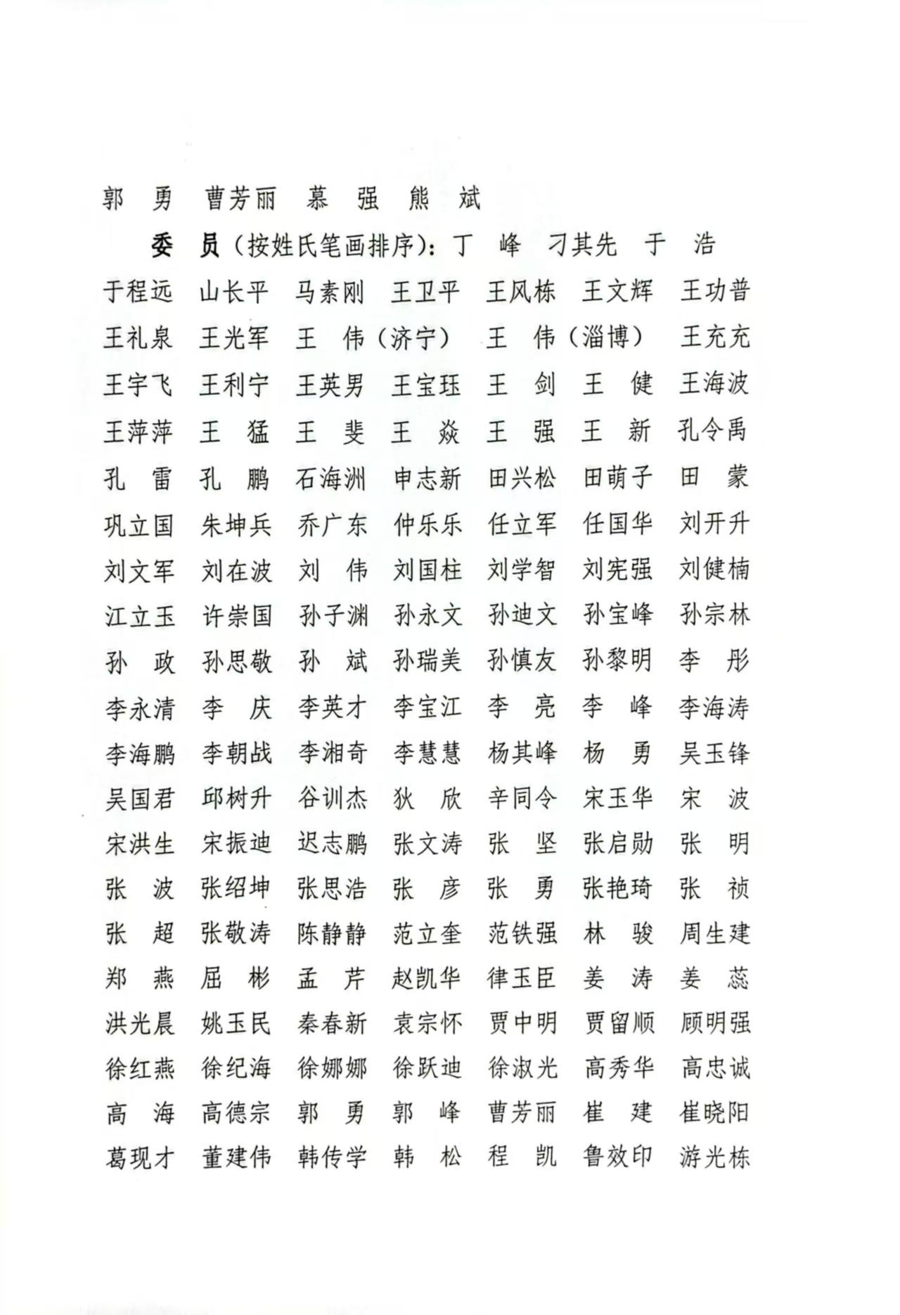
关于公布乳腺疾病分会第二届委员会组成的通知
关于公布乳腺疾病分会第二届委员会组成的通知
发布时间:2025-07-08 15:18:34
下载文件:
99-山东省康复医学会关于公布乳腺疾病分会第二届委员会组成的通知.pdf
申请个人会员
申报委员入口
单位会员入口